Chapter 7: Teatime – Completed!

When I started this project, baking wasn’t the seemingly national pastime as it is now since the rise of the behemoth that is The Great British Bake Off, but it was something I liked to do and was okay at, but certainly had a very narrow baking repertoire. I certainly never baked bread or biscuits, my cake-making was average, but I did make a passable shortcrust pastry. After baking my way through the recipes in this chapter, my world was opened up to a vast array of sticky, spicy, sweet and sometimes stodgy treats, many of which are now standards in my own cooking.

Baking #429 Cumberland Currant Cake
People are sick of mass-produced cakes and biscuits devoid of real flavours, covered in single-use plastic wrapping. Many of the recipes were quite obscure then and I wouldn’t have bothered with them normally, they seem less so now as people all over the country are looking to tradition in their home baking. That said, some recipes in the book are still obscure and old fashioned: you still don’t see #227 Wigs, #62 Seed Cake, #274 Saffron Cake or #431 Murrumbidgee Cake. All these recipes can be found within the pages of English Food.

#113 Muffins
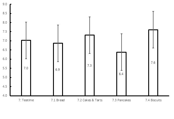
The Teatime chapter was a whopper; so big  I had to split it into four parts, otherwise it would have felt like a never-ending task as there were 72 recipes!
I split them into:
·       7.1: Bread (15 recipes)
·       7.2: Cakes & Tarts (35 recipes)
·       7.3: Pancakes & Griddle Cakes (13 recipes)
·       7.4: Biscuits (9 recipes)

Click on the hyper-links to see my reviews of the four sections.

The chapter scored an overall mean score of 7.0, which seems pretty average for the book so far. For those who care (and I know none of you do), here’s a little bar chart showing the mean scores for the chapter as a whole and then the separate subchapters. There are even error bars, don’t say I don’t treat you.

One important thing I learnt was that Teatime treats are not always sweet cakes and biscuits, but sandwiches made with a variety of breads, toast, muffins and crumpets.


There are blurred lines between my distinctions too; cakes used to be leavened with yeast before the advent of chemical raising agents so there is a continuum between bread and cake, cake and tart, tart and biscuit, biscuit and cake.

#186 Cheese and Oat Biscuits


But where does our obsession with teatime come from?

Well, tea had been drunk in Britain from around 1660; Charles II enjoyed a cuppa char every now and again, that’s for sure. However, it was extremely expensive and only the richest of folk could afford this exotic Chinese drink. It only really started to catch on when Assam tea plants were discovered to be growing in India in the 1820s. Prior to this, the Chinese had held the whole process of tea growing and drying under a shroud of secrecy. The British could buy their tea much more cheaply – it was also the catalyst for the British occupation of India, but that’s a story for another day. It was still expensive at this point, but the upper and middle-upper classes starting drinking it with gusto.

Anna, 7th Duchess of Bedford
The idea of teatime as we know it originates in the mid-19thcentury when the 7th Duchess of Bedford started asking for tea and bread and butter to be served to her in her room at 4 o’clock. The reason she did this was to quash her hunger pangs as she waited for dinner at 9 o’clock. Then, the only other meal of the day was breakfast. She started inviting her lady friends to enjoy her, and soon her lady friends began their own teatimes and invite other ladies to attend. The Duchess was very prominent in society and was good friends with Queen Victoria, so when her Royal Highness decided to start taking tea in afternoon too, the country went nuts.
The Queen had elaborate teas, and whatever she was doing, and wherever she might have been, she stopped for tea at around 4 o’clock. It would be very common for an en routequeen to stop her carriage and entourage, for a fire to be lit at the roadside, and for her to sup tea and eat the associated treats. She loved travelling and eating but found it much less exciting once her travel occurred mainly by train and there was no need to stop for tea anymore!

Making dough
Ladies had to be seen hosting teatimes and attending teatimes, one must have needed quite some stamina to trawl across the town or village several times so that one could be noticed.
Some disapproved of teatime, Sir Henry Thompson in 1891 said it was an undesirable habit as it was too generous and spoiled the coming dinner. He may well have been right, those poor ladies must have eaten and drank their fill when doing their rounds.
A truly traditional teatime is made up of sandwiches of cold meats and watercress. Cucumber was not originally popular as people regarded it with distain thinking raw cucumber was poisonous. It was also a rigmarole to prepare the sandwiches in advance; just using sliced cucumber made sandwiches soggy, so the slices had be salted overnight to draw out moisture, then rinsed and individually patted dry.

#270 Mereworth Biscuits
Joining the sandwiches were crumpets, muffins, wigs and seed cakes. Seed cakes were very popular because the caraway seeds that went into them were one of the very few spices that could be grown in Europe. There would be lashings of butter, honey and jam too of course.
Sweet sponge cakes like Victoria sponges were not generally eaten by the grown-ups, but instead made up the bulk of the nursery tea, though I’m sure there are many adults today who would prefer it!
I spotted a great reference to a Victorian book called Walsh’s Manual of Domestic Economy, which recommended, as part of a child’s teatime, a wineglass of homebrew to ‘restore health to the most delicate children’. Get that top tip on Mum’s Net!
Personally, I am very glad that home baking and teatime have regained popularity in Britain. I hope it’s not a fad and we all start buying Mr Kipling’s Fondant Fancies again in 18 months’ time or whatever.
Long may it continue!